基于能量收集的无线传感网络关键技术研究与实现(任务书,开题报告,外文翻译,论文17000字,答辩PPT)
摘要
通信领域的飞速发展所带来的能源消耗和环境污染问题已经引起了国内外研究组织的广泛关注,并提出了降低未来无线通信系统能耗和绿色通信的目标。能量收集技术的出现,离实现这个目标更进了一步。能量收集技术不仅可以通过可再生能源,解决网络节点的电池更换不方便的问题,还可以解决碳排放量过高的问题,因此也受到国内外学者越来越多的关注。
与此同时,用户需求量的指数型增长导致网络高度密集化,还有无线通信网络将面临信道衰落和噪声干扰问题。这些都会成为影响未来无线通信技术发展的因素。因此,基于能量收集技术和无线传感网络技术在将来的第五代(5G)无线通信系统起着关键性的作用。本论文借助马尔科夫链以及概率论等基础理论工具,基于能量收集的无线传感网络关键技术展开研究。论文的主要包括以下三个部分:
首先,通过广泛的调研,本文概述了能量收集技术。通过详细介绍其技术特点和与可再生能源相结合,以此来解决网络节点的电池更换不方便以及碳排放量过高的问题。无线传感网络技术的特点和应用领域,用其大规模性和自适应性来解决用户需求量逐渐增长的问题。还有总结了国内外相关研究组织对这两种关键技术的研究成果。
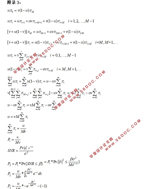
其次,在基于能量收集无线传感网络的场景下,本文提出了一种基站与用户数据与能量交互的模型,并且考虑了用户需求和能量传输两个方面。通过采用随机过程数学工具,设计了多能量级的能量收集马尔科夫模型,对基于能量收集节点的传输机会进行度量。结果表明,随着能量从上一个能量级到达下一个能量级的概率增加,传输机会也会增加。而用户需求数据交流的概率和能量到达可以传输给用户的能量级增加,传输机会会随之降低。
最后,在基于发射机与接收机经过瑞利信道衰落和噪声干扰的场景下,本文提出了一种降低中断概率的方法,将多能量级能量收集模型中的能量级增加,可以明显降低中断概率。通过采用概率论相关数学工具,对于无线传感网络来说,我们分析了多能量级能量收集的中断概率,将其与仿真结果相比较,最终证明中断概率的理论推导和实际结果相符合,并且提出降低中断概率的方法是可行的。
关键词:能量收集;可再生能源;无线传感网络;马尔科夫链;
Abstract
The energy consumption and environmental pollution caused by the rapid development of communication field have attracted the attention of research organizations at home and abroad, and put forward the goal of reducing energy consumption and green communication in future wireless communication systems. The advent of energy harvesting technology is a step closer to achieving this goal. Energy collection technology can not only solve the problem of inconvenient battery replacement by renewable energy, but also solve the problem of high carbon emissions, so it is also paid more and more attention by scholars at home and abroad.
At the same time, the exponential growth of user demand leads to high network density, and wireless communication network will be faced with the problem of channel fading and noise interference. These will become the factors that affect the future development of wireless communication technology. Therefore, energy harvesting technology and wireless sensor network technology will play a key role in the future fifth generation (5G) wireless communication system. With the help of the basic theory tools such as Markoff chain and probability theory, this paper studies the key technologies of wireless sensor networks based on energy harvesting. The paper mainly includes the following three parts:
First of all, through extensive research, this paper outlines the energy harvesting technology. In order to solve the problem of inconvenient battery replacement and high carbon emission, the technical features of the network and the combination of renewable energy are introduced in detail. The characteristics and application fields of wireless sensor network technology solve the problem of increasing user demand with its large scale and adaptability. It also summarizes the research results of the two key technologies by relevant research organizations at home and abroad.
Secondly, in the scene based on the energy collection wireless sensor network, this paper presents a model of the interaction between the base station and the user's data and energy, and takes into account the two aspects of user demand and energy transmission. By using the stochastic process mathematical tools, a multi energy level energy collection Markov model is designed to measure the transmission opportunities based on the energy collection nodes. The results show that as the probability of energy reaching the next energy level from the last energy level increases, the transmission opportunity also increases. The probability and energy of user demand data exchange can reach the energy level that can be transmitted to the user, and the transmission opportunity will decrease.
Finally, in the scene based on the Rayleigh fading and noise interference of the transmitter and receiver, a method to reduce the interruption probability is proposed, which increases the energy level in the multi energy level energy collection model, and can obviously reduce the interruption probability. By using the mathematical tools of probability theory, for the wireless sensor network, we analyze the interruption probability of the multi energy level energy collection, and compare it with the simulation results. Finally, it proves that the theoretical deduction of the interruption probability is consistent with the actual results, and it is feasible to reduce the interruption probability.
Keywords:Energy harvesting; Renewable energy;Wireless sensor network; Markoff chain



目录
摘要(中文) Ⅰ
(英文) Ⅱ
第一章绪论 1
1.1 研究的背景及意义 1
1.1.1 研究的背景 1
1.1.2研究的意义 1
1.2 面临的挑战及内容安排 2
1.2.1 面临的挑战 2
1.2.2 研究内容 2
1.2.3本文的内容安排 2
第二章基于能量收集的无线传感网络技术 3
2.1 能量收集技术 3
2.1.1 技术特点及可再生能源 3
2.1.1.1 技术特点 3
2.1.1.2 可再生能源 3
2.2无线传感网络技术 4
2.2.1 技术特点及应用领域 5
2.2.1.1 技术特点 5
2.2.1.2 应用领域 5
2.3国内外研究成果 6
第三章基于能量收集的无线传感网络模型 8
3.1 引言 8
3.2 系统模型 8
3.3 基于马尔科夫链的多能量级能量收集模型 9
3.4 传输机会 10
3.5发射机传输模型 11
3.6信道与噪声 11
3.6.1 瑞利信道 11
3.6.2 莱斯信道 12
3.6.3高斯白噪声 13
3.7中断概率 14
3.8仿真与数值分析 14
3.9本章小结 16
第四章总结与展望 17
4.1 全文总结 17
4.2 遇到的困难、解决方法及心得体会 17
4.3未来研究展望 17
结束语 19
参考文献 20
|